De acordo com o meu irmão, há 2 meses que a conta não é paga.
Portanto, em breve devem cortar-me o acesso a isto por falta de pagamento.
Adeus. Até um dia.
quinta-feira, 29 de novembro de 2012
domingo, 4 de novembro de 2012
Gaspar tudo se arranja! Vê lá se a gorda quer uma canja!
A propósito do episódio da Mixórdia de Temáticas de 17-09-12 intitulado "Uma canja para Merkel", a Rádio Comercial foi contactada por um grupo de cidadãos que se prepara para confeccionar a maior canja do mundo para entrar no Guinness quando Angela Merkel visitar Portugal.
Fonte: http://www.roletadasanedotas.com/a-maior-canja-do-mundo-para-enfiar-pela-goela-da-gorda-da-merkel/
Para quem perdeu o episódio:
Será que ela vai perceber a piada ou só vai comer a canja (e talvez repetir)?
sexta-feira, 2 de novembro de 2012
E o Caderno de Matemática ?
Escrever matemática, em particular a matemática "calculista" na internet ainda está longe de ser tarefa simples.
Existem blogs que suportam LaTeX mas só até certo ponto.
Ao tentar publicar as propostas de soluções aos primeiros problemas colocados no blog deparei-me com um problema bem chato: com as limitações do script que eu pensava utilizar.
Não tendo até agora encontrado uma alternativa decente e aceitável, está decidido publicar as soluções em PDF, e depositá-las algures online e partilhar o link no blog.
O blog regressará em breve.
Existem blogs que suportam LaTeX mas só até certo ponto.
Ao tentar publicar as propostas de soluções aos primeiros problemas colocados no blog deparei-me com um problema bem chato: com as limitações do script que eu pensava utilizar.
Não tendo até agora encontrado uma alternativa decente e aceitável, está decidido publicar as soluções em PDF, e depositá-las algures online e partilhar o link no blog.
O blog regressará em breve.
Matemaníaco
quinta-feira, 1 de novembro de 2012
Isto é Matemática
É um pouco imperdoável só vir falar deste programa agora, programa que até tem uma minha contribuição no episódio do próximo Sábado.
Isto é Matemática, é um programa da SIGMA3, promovido pela Sociedade Portuguesa de Matemática que passa na Sic Notícias, apresentado pelo matemático e professor Rogério Martins, onde é mostrado onde anda a Matemática no mundo em que vivemos.
Para quem ainda não viu, eu deixo aqui um link para os três primeiros episódios.
http://www.youtube.com/watch?v=_PYgy-06rIs&list=PLKTNxZkADYLsXkndkcs7BDFN5nijhBLWe
Etiquetas:
Isto é Matemática,
Matemática
quarta-feira, 31 de outubro de 2012
O "bom aluno" da troika..
Portugal é frequentemente considerado "o bom aluno" da troika.
"Bom aluno" o tanas...
Eu chamo a isto ser pau mandado. Faz o que eles querem, faz ainda algumas coisas a mais do que é pedido e aceitável, esmaga o povo, mata a classe média com impostos.
A longo prazo mata mesmo os portugueses porque começam a deixar de conseguir suportar despesas básicas de saúde.
Os bons alunos não têm problemas em discutir com os professores. Os bons alunos não têm problemas em discordar ou mesmo em corrigir um professor quando ele se engana.
Um bom professor não tem problemas com a frase "corrijam-me se eu estiver enganado" (mas raramente se engana).
Ainda não percebi se esta gente já percebeu o que lhes espera a partir de Janeiro!
Se calhar estão à espera de levar com a bomba em cima, para então fazer alguma coisa.
Eu há já imenso tempo que defendo a queda desta 3ª republica corrupta, despesista e que serve-se mais a si mesma do que ao país...
Temos políticos com despesas como se ainda tivéssemos o nosso império de há uns séculos atrás. Porque é que temos de ser nós a pagar os luxos deles?
Que fiquem com a tal "liberdade".
Se este é o preço a pagar, não quero nem preciso dela.
Para viver assim, por mim que tragam o Oliveira Salazar de volta do mundo dos mortos (e não um ladrãozeco de meia tigela sem qualquer amor à pátria como este lambe botas do Passos Coelho, ou alvo a abater Vitor Gaspar).
Conseguiram fazer Salazar subir mesmo muito na minha consideração (é triste ter chegado a este ponto).
E já agora, devolvam-lhe o nome que tiraram à actual ponte 25 de Abril!
É inaceitável termos uma classe política que desconhece a realidade dos portugueses, e que está a negociar em nosso nome, vivendo num mundo bem distinto do nosso!
Este "bom aluno" não está a defender o povo do meu país.
Esta republica muito menos.
Pois bem, que batamos o pé à europa, e que caia esta república de faz de conta onde impera o desrespeito pelo contribuinte português!
"Bom aluno" o tanas...
Eu chamo a isto ser pau mandado. Faz o que eles querem, faz ainda algumas coisas a mais do que é pedido e aceitável, esmaga o povo, mata a classe média com impostos.
A longo prazo mata mesmo os portugueses porque começam a deixar de conseguir suportar despesas básicas de saúde.
Os bons alunos não têm problemas em discutir com os professores. Os bons alunos não têm problemas em discordar ou mesmo em corrigir um professor quando ele se engana.
Um bom professor não tem problemas com a frase "corrijam-me se eu estiver enganado" (mas raramente se engana).
Ainda não percebi se esta gente já percebeu o que lhes espera a partir de Janeiro!
Se calhar estão à espera de levar com a bomba em cima, para então fazer alguma coisa.
Eu há já imenso tempo que defendo a queda desta 3ª republica corrupta, despesista e que serve-se mais a si mesma do que ao país...
Temos políticos com despesas como se ainda tivéssemos o nosso império de há uns séculos atrás. Porque é que temos de ser nós a pagar os luxos deles?
Que fiquem com a tal "liberdade".
Se este é o preço a pagar, não quero nem preciso dela.
Para viver assim, por mim que tragam o Oliveira Salazar de volta do mundo dos mortos (e não um ladrãozeco de meia tigela sem qualquer amor à pátria como este lambe botas do Passos Coelho, ou alvo a abater Vitor Gaspar).
Conseguiram fazer Salazar subir mesmo muito na minha consideração (é triste ter chegado a este ponto).
E já agora, devolvam-lhe o nome que tiraram à actual ponte 25 de Abril!
É inaceitável termos uma classe política que desconhece a realidade dos portugueses, e que está a negociar em nosso nome, vivendo num mundo bem distinto do nosso!
Este "bom aluno" não está a defender o povo do meu país.
Esta republica muito menos.
Pois bem, que batamos o pé à europa, e que caia esta república de faz de conta onde impera o desrespeito pelo contribuinte português!
Até amanhã
Carlos Paulo
terça-feira, 30 de outubro de 2012
Blogando em tempo de crise
Blogar é um verbo?
Se não é, aqui, neste blog passa a ser.
Blogar significa "escrever textos num blog".
Agora que já contribuí para o enriquecimento da língua portuguesa, vamos lá falar dessa senhora, para quem eu estou a tentar dar a minha contribuição.
Mais precisamente daquele atentado de já foi falado no post anterior, aquela imposição ridícula que é o "Acordo ortográfico".
Este acordo ortográfico não é uma evolução natural da língua, é uma imposição decretada e ao que parece, mal estudada visto que de acordo com alguns, diverge significativamente do português de Portugal e até do português do Brasil.
Esta tal de tentativa de unificação da língua para mim é mais do que ridícula, só não vou expor a minhas razões porque serei apenas mais um a repetir o que muitos já disseram.
Já muito se disse e muito ainda há para dizer.
Assim sendo, vou partilhar o link para um blog que vale a pena acompanhar regularmente, e juntá-lo ali ao lado, à minha lista de links
E sugiro-vos uma passagem de olhos por este artigo:
Este acordo ortográfico?
Não, obrigado!
Se fizerem um novo, escolham alguém que tenha noção do que está a fazer. Agora este, toca a destrui-lo porque não vou segui-lo nem que seja decretado por lei!
Prendam-me por não seguir o acordo, que eu acho possível que estando preso tenha uma vida mais fácil, pois em tempo de crise, ter um tecto e comida, já é muito bom.
Se não é, aqui, neste blog passa a ser.
Blogar significa "escrever textos num blog".
Agora que já contribuí para o enriquecimento da língua portuguesa, vamos lá falar dessa senhora, para quem eu estou a tentar dar a minha contribuição.
Mais precisamente daquele atentado de já foi falado no post anterior, aquela imposição ridícula que é o "Acordo ortográfico".
Este acordo ortográfico não é uma evolução natural da língua, é uma imposição decretada e ao que parece, mal estudada visto que de acordo com alguns, diverge significativamente do português de Portugal e até do português do Brasil.
Esta tal de tentativa de unificação da língua para mim é mais do que ridícula, só não vou expor a minhas razões porque serei apenas mais um a repetir o que muitos já disseram.
Já muito se disse e muito ainda há para dizer.
Assim sendo, vou partilhar o link para um blog que vale a pena acompanhar regularmente, e juntá-lo ali ao lado, à minha lista de links
E sugiro-vos uma passagem de olhos por este artigo:
Este acordo ortográfico?
Não, obrigado!
Se fizerem um novo, escolham alguém que tenha noção do que está a fazer. Agora este, toca a destrui-lo porque não vou segui-lo nem que seja decretado por lei!
Prendam-me por não seguir o acordo, que eu acho possível que estando preso tenha uma vida mais fácil, pois em tempo de crise, ter um tecto e comida, já é muito bom.
Matemaníaco
sábado, 20 de outubro de 2012
Regresso ao blog... e anti-AO
Não, a minha situação económica não melhorou, até porque aqui na Camacha estou sem alunos para explicações (os meus alunos de 12º e superior passaram todos...).
Decidi voltar a colocar anúncios no blog, e peço aos leitores que vão dando um cliquesito na publicidade de vez em quando, assim, com sorte pode ser que eu receba uns trocos de vez em quando.
Copio agora, para aqui uma opinião minha, posta como comentário a uma imagem no facebook.
Este "acordo" é uma anedota... rua com ele e voltemos ao tempo em que todos sabíamos escrever bom português.
É ridículo este estado em que praticamente todo o disparate passa, termos frases fabricadas com bocados de pré-acordo,acordo e erros ortográficos em todo o sítio, e ainda andarem contentes porque temos um "português unificado". Vão mas é gozar outro. Eu já ando a boicotar tudo o que esteja escrito à "acordês", e , por exemplo já cheguei a mandar um mail à deco proteste para deixar de me chatear enquanto usar acordo.
[Funcionou. Nunca mais tive "spam" deles.]
Acordo ortográfico?
Para mim não, obrigado.
Prefiro um bom texto em português de Portugal ou em português do Brasil.
E não há mais nada a dizer a não ser:
Decidi voltar a colocar anúncios no blog, e peço aos leitores que vão dando um cliquesito na publicidade de vez em quando, assim, com sorte pode ser que eu receba uns trocos de vez em quando.
Copio agora, para aqui uma opinião minha, posta como comentário a uma imagem no facebook.
Este "acordo" é uma anedota... rua com ele e voltemos ao tempo em que todos sabíamos escrever bom português.
É ridículo este estado em que praticamente todo o disparate passa, termos frases fabricadas com bocados de pré-acordo,acordo e erros ortográficos em todo o sítio, e ainda andarem contentes porque temos um "português unificado". Vão mas é gozar outro. Eu já ando a boicotar tudo o que esteja escrito à "acordês", e , por exemplo já cheguei a mandar um mail à deco proteste para deixar de me chatear enquanto usar acordo.
[Funcionou. Nunca mais tive "spam" deles.]
Acordo ortográfico?
Para mim não, obrigado.
Prefiro um bom texto em português de Portugal ou em português do Brasil.
E não há mais nada a dizer a não ser:
Até à próxima.
Carlos Paulo
Carlos Paulo
sexta-feira, 27 de julho de 2012
Procuro (urgentemente) emprego
Requisitos:
-Em Matemática.
- Áreas afastadas de Investigação Operação, Estatística, Actuariado, Análise de risco, consultadoria e outras do mesmo género. [não é esquisitice minha... não é mesmo a minha área, e nem me alicia minimamente]
- Não tenho interesse em empregos directamente associados a Informática (programação e afins.. sou matemático e não informático), no entanto, considero se envolver computação numérica]
-Bom ambiente, bom salário.
-Começar o mais rapidamente possível.
-Camacha(Madeira) ou arredores
[Mas estou aberto a outras propostas que incluam dormitório ou residência no local de trabalho, mesmo fora da Madeira ou de Portugal]
PS:
-Não tenho carta de condução (...por bons motivos)
-Não estou interessado em nenhum tipo de subsídio do estado, quero mesmo é um emprego... estável de preferência.
- Contacto

(blog "de férias" até a minha situação economica melhorar significativamente)
-Em Matemática.
- Áreas afastadas de Investigação Operação, Estatística, Actuariado, Análise de risco, consultadoria e outras do mesmo género. [não é esquisitice minha... não é mesmo a minha área, e nem me alicia minimamente]
- Não tenho interesse em empregos directamente associados a Informática (programação e afins.. sou matemático e não informático), no entanto, considero se envolver computação numérica]
-Bom ambiente, bom salário.
-Começar o mais rapidamente possível.
-Camacha(Madeira) ou arredores
[Mas estou aberto a outras propostas que incluam dormitório ou residência no local de trabalho, mesmo fora da Madeira ou de Portugal]
PS:
-Não tenho carta de condução (...por bons motivos)
-Não estou interessado em nenhum tipo de subsídio do estado, quero mesmo é um emprego... estável de preferência.
- Contacto
quarta-feira, 11 de julho de 2012
Saldo: zero - e quem se afundou fui eu.
Após pagar as despesas médicas no final de 2011, deixei os meus últimos 50€ na minha conta à ordem. Após 7 meses, e sem ter recebido qualquer contacto do banco, fui carregar o meu telemóvel..ou pelo menos pensava eu que ia. A minha magríssima conta estava a zeros.
Para onde foi o meu dinheiro? Para comissões e impostos.
http://economico.sapo.pt/noticias/conheca-os-bancos-que-mais-sobem-as-comissoes_142930.html
Óptimo...
Daqui a dias vou lá fechar a conta. Espero não ser cobrado por mais nada.
Ok, e o blog regressa às férias.
terça-feira, 26 de junho de 2012
Eu quero que ESTE país afunde!
Sou português. Vivo em Portugal desde que nasci.
No entanto ao longo da vida tive azar. Para além dos azares de saúde, fui-me cruzando com anormais em posições críticas que me obrigaram a tomar decisões que pouca gente compreende.
Para ser honesto, estou-me nas tintas se compreendem ou não.
Simplesmente peço que me poupem às vossas estúpidas críticas e palpites. Não fazem mesmo ideia do que dizem. É um hábito bem estúpido das pessoas, falar do que não sabem, como se soubessem de tudo e a sua experiência de vida lhes desse autoridade para julgar os outros.
Se cometi erros? Sim, cometi, mas não os que as pessoas julgam saber.
O que se passou comigo é mais ou menos o reflexo do que se passou no resto do país.
Um país onde os políticos desconhecem a realidade do país, mas decidem sobre ele, julgando estar a fazê-lo da melhor forma possível.
Um breve comentário aqui:
Sim, já tive imenso idiota a decidir tretas por mim... sem que eu tivesse sequer votado nessas pessoas para o fazerem, e hoje não tenho problemas em apontar dedos: Na Universidade da Madeira, no ano lectivo 1998/1999 as cadeiras "opções" do meu último ano da licenciatura, não foram decididas por mim, nem tive voto na matéria... e sinceramente, não tive uma que me interessasse. Nem sequer o "Seminário", que nas licenciaturas pré-Bolonha do resto do país funcionavam como deve ser foi um seminário normal: Foi-me imposta uma cadeira com uma avaliação altamente irregular e anedótica. Isto somente é motivo mais do que suficiente para que eu não confie na Universidade da Madeira para mais nada na minha vida, mas mesmo assim tenho motivos bem mais fortes. E vejam que eu tenho lá imensos amigos.
É muito fácil julgar erradamente uma pessoa, desconhecendo a vida dessa pessoa. Sejam adultos: Não o façam. Simplesmente aceitem. Não me ponham rótulos. Eu tenho muito boas razões, e nem vou perder tempo a explicá-las!
(e se notarem bem... isto é um raciocínio repetido várias vezes por mim)
Quando à nossa classe política. Toma decisões visivelmente erradas mandato após mandato e vão sendo reeleitos... E não, não estou a falar especificamente do Dr. Alberto João Jardim. Esse ao menos fez por melhorar a qualidade de vida do povo madeirense. Também cometeu erros.
Tem os defeitos previsíveis de quem está há tanto tempo no poder, mas não me parece ser o "pior" a nível nacional.
A justiça em Portugal é anedótica. Não há políticos presos por gestão danosa do país. Há muitos que abusam do poder. Usam os bens do estado a seu bel-prazer e para uso pessoal.
Será que vale a pena continuar?
Eu quero mesmo que ESTE país afunde, e das cinzas nasça um novo país, com melhores pessoas, com mentalidades diferentes e que procurem o bem da nação, e não apenas em si.
Adeus velho Portugal. Que venha um novo e melhor...
Leva contigo todos os vulgarmente chamados "fdps" e deixa as poucas pessoas que se aproveitem.
Até à próxima.
PS: Este blog fará uma pausa para férias.
segunda-feira, 4 de junho de 2012
O homem sem sonhos....
“The poorest man in the world is the man without a dream.The most frustrated man in the world is the man with a dream that never becomes reality.” --- Miles Munroe
Os sonhos têm custos, custos que implicam decisões e decisões muitas vezes difíceis... É cada vez mais difícil sonhar. A maioria das pessoas encontra pedrinhas contornáveis no caminho. As minhas foram rochedos.
Pedrinhas que guardadas no fim, possibilitariam a construção de um castelo.
As minhas, atirei-as ao mar. Os rochedos ficaram no lugar. Não ando com explosivos...
Odiei cada um desses rochedos. Odiei sim!
A arrogância de quem julga saber tudo e contraditoriamente trabalha em ciência.
Os sonhos ficaram para trás... O ódio, nem por isso, só tomou outra forma.
Deixei de sonhar. Parece que perdi esse direito.
Vivo... ou melhor.. sobrevivo.
Com os restos do que outrora foi um sonho.
Para além de um subtil, inadequado e inútil desejo de vingança... não sobrou muito..
Resta-me esperar uns milhões de anos, e será a erosão a tratar dos rochedos...
Sim, Sr. Munroe, sou o homem mais pobre do mundo. E depois?
Os sonhos têm custos, custos que implicam decisões e decisões muitas vezes difíceis... É cada vez mais difícil sonhar. A maioria das pessoas encontra pedrinhas contornáveis no caminho. As minhas foram rochedos.
Pedrinhas que guardadas no fim, possibilitariam a construção de um castelo.
As minhas, atirei-as ao mar. Os rochedos ficaram no lugar. Não ando com explosivos...
Odiei cada um desses rochedos. Odiei sim!
A arrogância de quem julga saber tudo e contraditoriamente trabalha em ciência.
Os sonhos ficaram para trás... O ódio, nem por isso, só tomou outra forma.
Deixei de sonhar. Parece que perdi esse direito.
Vivo... ou melhor.. sobrevivo.
Com os restos do que outrora foi um sonho.
Para além de um subtil, inadequado e inútil desejo de vingança... não sobrou muito..
Resta-me esperar uns milhões de anos, e será a erosão a tratar dos rochedos...
Sim, Sr. Munroe, sou o homem mais pobre do mundo. E depois?
Etiquetas:
divagações,
Kobayashi Maru,
Os sonhos são para os caloiros.
quinta-feira, 17 de maio de 2012
Circo De Feras (Xutos e Pontapés)
A vida vai torta
Jamais se endireita
O azar persegue
Esconde - se à espreita
Nunca dei um passo
Que fosse o correcto
Eu nunca fiz nada
Que batesse certo
(Refrão)
Enquanto esperavas no fundo da rua
Pensava em ti e em que sorte era a tua
Quero-te tanto...(quero-te tanto)
Quero-te tanto...(quero-te tanto)
De modo que a vida
É um circo de feras
E uns entre tantos
São as minhas feras
Nunca dei um passo
Que fosse o correcto
Eu nunca fiz nada
Que batesse certo
(Refrão)
Enquanto esperavas no fundo da rua
Pensava em ti e em que sorte era a tua
Quero-te tanto...(quero-te tanto)
Quero-te tanto...(quero-te tanto)
(momento instrumental)
sábado, 12 de maio de 2012
Bah..
Estou deitado na cama, cansado e sem sono.. Que paradoxo irritante.
- O calor não ajuda...
- Preciso de fazer alguma coisa da minha vida.
- Quero publicar o primeiro artigo do blog Caderno de Matemática, mas o meu computador decidiu não ajudar...
- O meu Linux Debian já não é suportado. Óptimo... sei lá quanto tempo tenho de perder para instalar uma versão nova.
- Tenho um website novo para construir de raiz. Optei por utilizar Joomla mas ainda não sei usar o bicho... e a minha paciência para PC's de momento está bem baixa. O problema é que este site poderá eventualmente contribuir para a minha saúde financeira.
-Tenho alguns trabalhos computacionais atrasados.. ah certo.. tenho mesmo de instalar e configurar um novo Linux.
Bah.. quero dormir!
Já espatifei as minhas fichas todas no Zynga Poker... e mesmo assim o sono, nada. Tive o PC desligado algumas horas, e aproveitei para calcular integrais de cabeça às escuras.
Se calhar não é o melhor para quem tem de dormir...
Hum... Que será que estão a passar na TV?
Ok, já sei.. vou escrever qualquer coisa no meu blog. Escrever dá-me sempre sono!
Excepto desta vez..
GRRR!!!
QUERO DORMIR!
- O calor não ajuda...
- Preciso de fazer alguma coisa da minha vida.
- Quero publicar o primeiro artigo do blog Caderno de Matemática, mas o meu computador decidiu não ajudar...
- O meu Linux Debian já não é suportado. Óptimo... sei lá quanto tempo tenho de perder para instalar uma versão nova.
- Tenho um website novo para construir de raiz. Optei por utilizar Joomla mas ainda não sei usar o bicho... e a minha paciência para PC's de momento está bem baixa. O problema é que este site poderá eventualmente contribuir para a minha saúde financeira.
-Tenho alguns trabalhos computacionais atrasados.. ah certo.. tenho mesmo de instalar e configurar um novo Linux.
Bah.. quero dormir!
Já espatifei as minhas fichas todas no Zynga Poker... e mesmo assim o sono, nada. Tive o PC desligado algumas horas, e aproveitei para calcular integrais de cabeça às escuras.
Se calhar não é o melhor para quem tem de dormir...
Hum... Que será que estão a passar na TV?
Ok, já sei.. vou escrever qualquer coisa no meu blog. Escrever dá-me sempre sono!
Excepto desta vez..
GRRR!!!
QUERO DORMIR!
Etiquetas:
Nem sei que etiqueta pôr nisto
sábado, 21 de abril de 2012
Caderno de Matemática...
Tenho em preparação um novo Blog, (sim, mais um...)
Desta vez, o blog chamar-se-á "Caderno de Matemática".
O nome provisório, mas inicialmente ia chamar-se "CarlosPaulices Matemáticas", portanto, não o contestem ainda.
Neste "caderno" serão periodicamente apresentadas possíveis resoluções de exercícios de Matemática dos mais variados graus de ensino, que poderão ser consultadas depois pelas etiquetas do blog.
De vez em quando deixarei na minha skydrive um PDF com alguns exercícios escolhidos.
O blog será totalmente escrito em português, e será actualizado um pouco mais regularmente do que este, enquanto eu tiver algum tempo, e um computador disponível.
Este blog continuará disponível e a ter publicações aleatórias, tal como sempre teve.
O link é: http://cadernomatematica.blogspot.pt/
Mas, as publicações não devem começar antes de Maio.
Em termos práticos, o Caderno de Matemática será um passatempo para mim, pelo menos enquanto a minha situação profissional e académica não mudar.
Neste momento tenho alguns trabalhos parados desde há alguns meses. Voltarei a eles lentamente em breve.
Preciso mesmo de um computador novo. O Scratchy começa a chegar aos seus limites.
Estive a ver se recuperava pelo menos um dos meus velhinhos pentium IV apenas para computação numérica, mas... enquanto estive em Lisboa, nos últimos 5 anos, a humidade deu cabo deles, e a recuperação sai tão cara que mais vale comprar um novo.
Problema 1: Um computador novo está-me neste momento (muito) fora de orçamento.
Problema 2: Não quero nem preciso de um computador com windows 7. Será que vendem algum computador sem sistema operativo (e portanto mais barato) para que eu possa instalar um Debian (Linux) com as ferramentas que eu costumo usar?
Sem um novo computador sou por enquanto, (pseudo) matemático de papel e lápis, facebook e LaTeX...
Fora isso, a minha motivação já foi maior. Neste momento, leio aleatoriamente capítulos dos meus mais variados livros de Matemática...e resolvo, também aleatoriamente exercícios deles...
Até à próxima.
Desta vez, o blog chamar-se-á "Caderno de Matemática".
O nome provisório, mas inicialmente ia chamar-se "CarlosPaulices Matemáticas", portanto, não o contestem ainda.
Neste "caderno" serão periodicamente apresentadas possíveis resoluções de exercícios de Matemática dos mais variados graus de ensino, que poderão ser consultadas depois pelas etiquetas do blog.
De vez em quando deixarei na minha skydrive um PDF com alguns exercícios escolhidos.
O blog será totalmente escrito em português, e será actualizado um pouco mais regularmente do que este, enquanto eu tiver algum tempo, e um computador disponível.
Este blog continuará disponível e a ter publicações aleatórias, tal como sempre teve.
O link é: http://cadernomatematica.blogspot.pt/
Mas, as publicações não devem começar antes de Maio.
Em termos práticos, o Caderno de Matemática será um passatempo para mim, pelo menos enquanto a minha situação profissional e académica não mudar.
Neste momento tenho alguns trabalhos parados desde há alguns meses. Voltarei a eles lentamente em breve.
Preciso mesmo de um computador novo. O Scratchy começa a chegar aos seus limites.
Estive a ver se recuperava pelo menos um dos meus velhinhos pentium IV apenas para computação numérica, mas... enquanto estive em Lisboa, nos últimos 5 anos, a humidade deu cabo deles, e a recuperação sai tão cara que mais vale comprar um novo.
Problema 1: Um computador novo está-me neste momento (muito) fora de orçamento.
Problema 2: Não quero nem preciso de um computador com windows 7. Será que vendem algum computador sem sistema operativo (e portanto mais barato) para que eu possa instalar um Debian (Linux) com as ferramentas que eu costumo usar?
Sem um novo computador sou por enquanto, (pseudo) matemático de papel e lápis, facebook e LaTeX...
Fora isso, a minha motivação já foi maior. Neste momento, leio aleatoriamente capítulos dos meus mais variados livros de Matemática...e resolvo, também aleatoriamente exercícios deles...
Até à próxima.
Etiquetas:
Caderno de Matemática
quinta-feira, 19 de abril de 2012
Um futuro brilhante...
Muitas vezes vejo comentadores a dar opiniões sobre o presente e o futuro do país.
Se for na TV, acabo por mudar de canal ou simplesmente desligá-la e ir fazer algo mais interessante.
O futuro do país...
Neste momento eu vejo o meu futuro a tender para "sem abrigo".
Tenho uma licenciatura em Matemática...
Larguei 2 mestrados.
Já aturei muita gente parva na vida e já engoli muitos sapos (como pode demonstrar a minha gastrite crónica).
"Bom dia sr empregador. Sei calcular integrais, resolver equações diferenciais, percebo algumas coisitas de grupos e aneis, já não me lembro de grande coisa de grupos de Galois, a última vez que fiz alguma coisa com eles tinha menos 12 anos, não gosto de Investigação operacional, mas sou perito em álgebra linear, Análise complexa e percebo umas coisitas de Análise Funcional e Análise numérica. Sim, também de Computação numérica, mas neste momento não tenho computador decente para fazer disso... Tem algum emprego bem pago para mim? "
Explicações.. bem... por aqui não me dão uma perspectiva de futuro a longo prazo.
"É sempre preciso de Matemáticos"- ouço quem não faz ideia do que diz a falar.
Verdade seja dita. Recuso-me a voltar a trabalhar com quem já me atraiçoou uma vez. Recuso-me a voltar a lidar com gente estúpida que contribuiu para que eu chegasse ao ponto em que estou hoje.
É incrível como fui prejudicado por decisões que não foram minhas! Decisões que não me deram outras hipóteses a não ser ter de tomar decisões por vezes drásticas...
Vejo muitas pessoas com ideais giros, muitas filosofias e psicologias baratas, e imensas frases feitas.
Que fiquem com elas... Eu não acredito no pai Natal.
Não mas imponham. Não quero saber. Desapareçam.
Um pedido de desculpas nunca fez mal a ninguém.
Façam o vosso trabalho decentemente. Sejam profissionais e... metam-se na vossa vida.
Brincar com o futuro dos outros devia ser crime.
Vendo bem, se fosse crime... não servia de muito porque a justiça por cá funciona bem mal.
É melhor começar a procurar uma ponte... vou mesmo precisar de um tecto.
Esperança? Não me façam rir... Já são muitos anos a ver sonhos esfumar-se.
E pensar que um dia... esqueçam! Realmente, os sonhos são para os caloiros.
Até à próxima.
Se for na TV, acabo por mudar de canal ou simplesmente desligá-la e ir fazer algo mais interessante.
O futuro do país...
Neste momento eu vejo o meu futuro a tender para "sem abrigo".
Tenho uma licenciatura em Matemática...
Larguei 2 mestrados.
Já aturei muita gente parva na vida e já engoli muitos sapos (como pode demonstrar a minha gastrite crónica).
"Bom dia sr empregador. Sei calcular integrais, resolver equações diferenciais, percebo algumas coisitas de grupos e aneis, já não me lembro de grande coisa de grupos de Galois, a última vez que fiz alguma coisa com eles tinha menos 12 anos, não gosto de Investigação operacional, mas sou perito em álgebra linear, Análise complexa e percebo umas coisitas de Análise Funcional e Análise numérica. Sim, também de Computação numérica, mas neste momento não tenho computador decente para fazer disso... Tem algum emprego bem pago para mim? "
Explicações.. bem... por aqui não me dão uma perspectiva de futuro a longo prazo.
"É sempre preciso de Matemáticos"- ouço quem não faz ideia do que diz a falar.
Verdade seja dita. Recuso-me a voltar a trabalhar com quem já me atraiçoou uma vez. Recuso-me a voltar a lidar com gente estúpida que contribuiu para que eu chegasse ao ponto em que estou hoje.
É incrível como fui prejudicado por decisões que não foram minhas! Decisões que não me deram outras hipóteses a não ser ter de tomar decisões por vezes drásticas...
Vejo muitas pessoas com ideais giros, muitas filosofias e psicologias baratas, e imensas frases feitas.
Que fiquem com elas... Eu não acredito no pai Natal.
Não mas imponham. Não quero saber. Desapareçam.
Um pedido de desculpas nunca fez mal a ninguém.
Façam o vosso trabalho decentemente. Sejam profissionais e... metam-se na vossa vida.
Brincar com o futuro dos outros devia ser crime.
Vendo bem, se fosse crime... não servia de muito porque a justiça por cá funciona bem mal.
É melhor começar a procurar uma ponte... vou mesmo precisar de um tecto.
Esperança? Não me façam rir... Já são muitos anos a ver sonhos esfumar-se.
E pensar que um dia... esqueçam! Realmente, os sonhos são para os caloiros.
Até à próxima.
Etiquetas:
divagações,
E agora?,
Kobayashi Maru,
Os sonhos são para os caloiros.
domingo, 8 de abril de 2012
Bullying

A magricela que chamaste de anoréctica tinha intestinos que não absorviam nutrientes.
A garota que chamaste "p*ta" na aula era virgem.
A rapariga grávida a correr pela rua, foi violada.
O rapaz que chamaste de coxo, trabalhava todas as noites para sustentar a familia.
Aquela rapariga que deitaste abaixo no outro dia, sofre abusos em casa.
Aquela garota que tu chamaste "gorda", está a morrer à fome.
O velho que gozavas pelas cicatrizes feias, lutou pelo nosso país.
O rapaz que tu gozaste por estar a chorar... A mãe dele estava a morrer.
Não julgues. Diz não ao Bullying.
(adaptado)
Etiquetas:
Bullying,
Kobayashi Maru,
Sugestão de amigo
quarta-feira, 14 de março de 2012
Palpites? Fiquem com eles, obrigado.
Muitas vezes ouço opiniões que não pedi das pessoas menos recomendáveis para as dar. Uma vez na vida ainda vá que não vá... mas muito frequentemente, torna-se aborrecido e as pessoas ou entram na lista de pessoas a evitar ou pessoas a levar uma resposta do tipo: "metam-se na vossa vida!" . Há pessoas tão chatas que acham que sabem tudo, e dizem cada bacorada...
Aqui, não sejam idiotas. Se têm problemas de saúde consultem um médico, ou qualquer outro tipo de especialista, e se for necessário, recorram a uma segunda opinião.
E se não forem levados a sério: INSISTAM. Com a saúde não se brinca. Isso de ir atrás de opiniões de familiares ou amigos sem formação médica, mesmo que tenham tido os mesmos sintomas, ou pior, vos recomende aquilo que tomou... é péssima ideia. Cada um de nós tem o seu corpo. Cada um que cuide do seu!
Eu realmente adorei estar internado e ainda ter sermões de pessoas que não percebem nada de medicina e que não me dirigiam a palavra há anos... E ainda ter de ouvir cada disparate!...
Aqui... ter um bom amigo ajuda. Ter alguém a dar conselhos gratuitos que não foram pedidos e regra geral são inadequados é tão útil como um rádio que só dá estática.
Os amigos são para as ocasiões.
Mais um ramo onde eu ouço cada asneira...
Da última vez que me sugeriam que concorresse para um emprego na área da "contabilidade" eu respondi "Eu sou Matemático, não percebo nem nunca tive qualquer interessa na vida em contabilidade!"
Pá! Querem ajudar-me? Mandem-me propostas na área de Matemática! Mas primeiro, INVESTIGUEM o que é Matemática!
Portanto, o melhor conselheiro profissional é um profissional, ou à falta disso, estão por vossa conta e têm de ter boas ideias.
Conhecem aquela expressão: "Entre marido e mulher não metas a colher"?, Caso geral: Não se metam na vida dos outros!
Ou seja, contra quem não tem mais do que fazer a não ser meter-se na vossa vida, a teimosia e o bom senso são as maiores virtudes.
Comigo: Nem tentem. Se eu estiver a morar debaixo da ponte, e vêm para ... sinceramente me chatear com assuntos que desconhecem, prefiro continuar debaixo da ponte! Todos somos diferentes. Nascemos diferentes, temos direito a ser diferentes. Ainda vai chegar o dia em que vou pegar no meu dicionário de palavrões e aplicá-los todos a quem se acha "dono da razão", ou mesmo partir para a violência!
Temos limitações, vidas, percursos e até corpos e almas diferentes. Não sejam arrogantes ao ponto de pensar que se uma coisa funciona para vocês funciona para os outros. Que a vossa opinião está sempre certa. Regra geral ouço pessoas a falar do que não sabem! O único sítio onde pode haver certezas absolutas é na Matemática, não no mundo real.
PS Uma vez até mandaram-me desligar um computador porque estava infectado e eu podia apanhar o vírus e ficar doente... duhh! E à custa desta amostra de ignorância, na minha família algumas pessoas ficaram com o hábito de responsabilizar os computadores por tudo o que me aconteça!.
Até à próxima.
E feliz dia do PI!
Saúde
Aqui, não sejam idiotas. Se têm problemas de saúde consultem um médico, ou qualquer outro tipo de especialista, e se for necessário, recorram a uma segunda opinião.
E se não forem levados a sério: INSISTAM. Com a saúde não se brinca. Isso de ir atrás de opiniões de familiares ou amigos sem formação médica, mesmo que tenham tido os mesmos sintomas, ou pior, vos recomende aquilo que tomou... é péssima ideia. Cada um de nós tem o seu corpo. Cada um que cuide do seu!
Eu realmente adorei estar internado e ainda ter sermões de pessoas que não percebem nada de medicina e que não me dirigiam a palavra há anos... E ainda ter de ouvir cada disparate!...
Vida pessoal
Aqui... ter um bom amigo ajuda. Ter alguém a dar conselhos gratuitos que não foram pedidos e regra geral são inadequados é tão útil como um rádio que só dá estática.
Os amigos são para as ocasiões.
Vida profissional
Mais um ramo onde eu ouço cada asneira...
Da última vez que me sugeriam que concorresse para um emprego na área da "contabilidade" eu respondi "Eu sou Matemático, não percebo nem nunca tive qualquer interessa na vida em contabilidade!"
Pá! Querem ajudar-me? Mandem-me propostas na área de Matemática! Mas primeiro, INVESTIGUEM o que é Matemática!
Portanto, o melhor conselheiro profissional é um profissional, ou à falta disso, estão por vossa conta e têm de ter boas ideias.
Vida familiar
Conhecem aquela expressão: "Entre marido e mulher não metas a colher"?, Caso geral: Não se metam na vida dos outros!
Ou seja, contra quem não tem mais do que fazer a não ser meter-se na vossa vida, a teimosia e o bom senso são as maiores virtudes.
Comigo: Nem tentem. Se eu estiver a morar debaixo da ponte, e vêm para ... sinceramente me chatear com assuntos que desconhecem, prefiro continuar debaixo da ponte! Todos somos diferentes. Nascemos diferentes, temos direito a ser diferentes. Ainda vai chegar o dia em que vou pegar no meu dicionário de palavrões e aplicá-los todos a quem se acha "dono da razão", ou mesmo partir para a violência!
Temos limitações, vidas, percursos e até corpos e almas diferentes. Não sejam arrogantes ao ponto de pensar que se uma coisa funciona para vocês funciona para os outros. Que a vossa opinião está sempre certa. Regra geral ouço pessoas a falar do que não sabem! O único sítio onde pode haver certezas absolutas é na Matemática, não no mundo real.
PS Uma vez até mandaram-me desligar um computador porque estava infectado e eu podia apanhar o vírus e ficar doente... duhh! E à custa desta amostra de ignorância, na minha família algumas pessoas ficaram com o hábito de responsabilizar os computadores por tudo o que me aconteça!.
Até à próxima.
E feliz dia do PI!
Etiquetas:
Num mundo à parte
sexta-feira, 9 de março de 2012
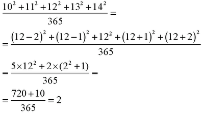
Somando quadrados...
Com a chegada de calculadoras e computadores à nossa sociedade, infelizmente a capacidade de cálculo mental começa a atrofiar em muita gente. Aliás, quem acha que os matemáticos são peritos em fazer contas está tremendamente enganado. Salvo poucas excepções, muitos fogem do cálculos e delegam-nos a máquinas.
No entanto, o cálculo mental, e mesmo o tradicional, de papel e lápis deve ser tido como uma mais-valia e por essa razão, neste blog partilharei alguns truques de cálculo (peço já desculpa aos que acharem isto inútil, ou a quem eu não apresentar nada de novo).
Hoje, trago um pequeno exercício que encontrei...
Recentemente,no facebook notei que um amigo tinha esta pintura no seu mural.
(se alguém souber me dar mais detalhes sobre esta pintura..eu agradeço)
Ora, o cálculo apresentado no quadro é facilmente efectuado recorrendo à fórmula da soma de quadrados já aqui apresentada em posts anteriores.
Mas, penso que mentalmente será mais fácil proceder assim:
Já agora, vejamos como proceder recorrendo à fórmula da soma de quadrados
A fórmula da soma de quadrados dos posts anteriores é facilmente memorizável. Para somar todos os quadrados perfeitos de 1 até 92 multiplica-se 9 por 10 e por (9+10) e no fim, divide-se por 6. O resultado é 15 ×19=225+60=285.
Para somar todos os quadrados de 1 até 142 multiplica-se 14 por 15 por (14+15) e divide-se por 6. O resultado é 7×5 ×29=35×30-35=1015.
Então o resultado é (1015-285)/365=730/365=2.
Naturalmente estas resoluções não são as únicas..quem quiser partilhar mais alguma pode e deve fazê-lo.
Até à próxima.
Etiquetas:
calculo mental,
Matemática
quarta-feira, 7 de março de 2012
(Des)Honestidade Académica
Quando se fala de desonestidade académica, muitas vezes ocorre-nos coisas como exames fraudelentos, copianço, entrega de trabalhos feitos por outras pessoas...
Recordo-vos que existem outros tipos de fraude académica.
Avaliações que mudam as regras a meio ou no fim do ano lectivo, notas atribuídas sem qualquer avaliação, e até, imagine-se, professores que com juízos pre-determinados limitam as opções, ou complicam mesmo a vida dos alunos.
Mas quando se fala de fraude académica, o elo mais fraco é "sempre" quem está a ser avaliado, nunca quem avalia.
Portanto, eu sou a favor da chamada "avaliação dos professores".
Quem chega ao cargo de professor deve ser periodicamente avaliado psicologicamente, e também ser periodicamente avaliado na área que lecciona. Para termos um ensino de qualidade, os professores devem ser igualmente libertos dos excessos de burocracias que muitas vezes impede que sejam preparadas boas aulas. Aliás, algumas aulas são tão más que é até imoral exigir a presença de um aluno.
Não me venham com tretas: Por melhor que seja e mais experiência que tenha um professor, uma aula pouco ou nada preparada é algo desonesto e irresponsável:com o futuro das pessoas não se brinca (o mesmo recado deve ser dado ao nossos políticos).
Este tipo de avaliação não se deve cingir ao ensino pré-universitário.
A filosofia "quero posso e mando" não pode ter lugar por ninguém em nenhum grau de ensino, e honestamente, devia ser considerada crime.
Este outro tipo de desonestidade académica é um dos muitos factores que me faz ter decidido afastar-me definitivamente de faculdades e universidades.
Recordo-vos que existem outros tipos de fraude académica.
Avaliações que mudam as regras a meio ou no fim do ano lectivo, notas atribuídas sem qualquer avaliação, e até, imagine-se, professores que com juízos pre-determinados limitam as opções, ou complicam mesmo a vida dos alunos.
Mas quando se fala de fraude académica, o elo mais fraco é "sempre" quem está a ser avaliado, nunca quem avalia.
Portanto, eu sou a favor da chamada "avaliação dos professores".
Quem chega ao cargo de professor deve ser periodicamente avaliado psicologicamente, e também ser periodicamente avaliado na área que lecciona. Para termos um ensino de qualidade, os professores devem ser igualmente libertos dos excessos de burocracias que muitas vezes impede que sejam preparadas boas aulas. Aliás, algumas aulas são tão más que é até imoral exigir a presença de um aluno.
Não me venham com tretas: Por melhor que seja e mais experiência que tenha um professor, uma aula pouco ou nada preparada é algo desonesto e irresponsável:com o futuro das pessoas não se brinca (o mesmo recado deve ser dado ao nossos políticos).
Este tipo de avaliação não se deve cingir ao ensino pré-universitário.
A filosofia "quero posso e mando" não pode ter lugar por ninguém em nenhum grau de ensino, e honestamente, devia ser considerada crime.
Este outro tipo de desonestidade académica é um dos muitos factores que me faz ter decidido afastar-me definitivamente de faculdades e universidades.
Etiquetas:
E agora?
terça-feira, 21 de fevereiro de 2012
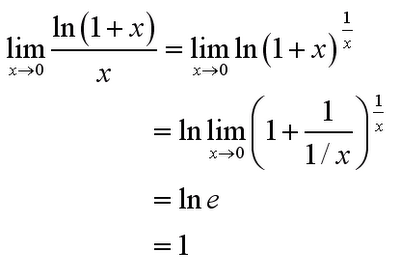
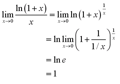
O fantástico número e: "limites notáveis"
Actualmente, em Portugal, no ensino secundário, define-se e como sendo o limite:
A existência deste limite, não é analíticamente demonstrada a não ser no ensino superior, tipicamente recorrendo ao facto de a sucessão (1+1/n)^n ser monótona (crescente) e majorada (logo, limitada).
Que por sua vez, (graças à definição de limite segundo Heine) leva-nos ao limite:

Ou seja, os "limites notáveis" associados a e são uma simples consequência da sua definição.
A importância deste último limite em particular, está no facto de ser ele o responsável pelas fórmulas de derivação das exponenciais, e também dos logaritmos.
Este post é algo que deveria ser do conhecimento geral de todo o aluno que termina o actual secundário, e que afasta a "necessidade" de calculadoras na justificação de "limites notáveis"...
Exercício: mostrar, recorrendo à definição e apenas a limites indicados nesta página que a derivada do logaritmo base e no ponto 1 é 1.

A existência deste limite, não é analíticamente demonstrada a não ser no ensino superior, tipicamente recorrendo ao facto de a sucessão (1+1/n)^n ser monótona (crescente) e majorada (logo, limitada).
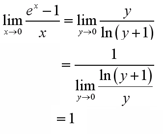
Uma consequência desta definição é o limite


Este limite, conjuntamente com a continuidade do logaritmo base e pode ser utilizado, por exemplo para calcular o limite:
e, por sua vez, este último limite pode também ser utilizado para deduzir o valor de
Com simples manipulações conseguem-se demonstrar os outros "limites notáveis."Ou seja, os "limites notáveis" associados a e são uma simples consequência da sua definição.
A importância deste último limite em particular, está no facto de ser ele o responsável pelas fórmulas de derivação das exponenciais, e também dos logaritmos.
Este post é algo que deveria ser do conhecimento geral de todo o aluno que termina o actual secundário, e que afasta a "necessidade" de calculadoras na justificação de "limites notáveis"...
Exercício: mostrar, recorrendo à definição e apenas a limites indicados nesta página que a derivada do logaritmo base e no ponto 1 é 1.
Etiquetas:
calculadoras,
Cálculo,
Matemática
sexta-feira, 17 de fevereiro de 2012
“Before you diagnose yourself with depression or low self-esteem, first make sure that you are not, in fact, surrounded by assholes.” ~William Gibson
Tenho de confessar-vos uma coisa: Livrar-se dos idiotas funciona mesmo.
Tenho de confessar-vos uma coisa: Livrar-se dos idiotas funciona mesmo.
Etiquetas:
CarlosPaulices puras,
divagações
domingo, 12 de fevereiro de 2012
Calcular limites recorrendo ao integral de Riemann (I)
A fórmula do somatório de quadrados perfeitos do post anterior, não surgiu neste blog por mero acaso. Ultimamente tenho andado a passar os olhos por este livro de exercícios:

(Custou-me 8€ numa das feiras do livro do metro de Lisboa, enquanto lá estive nas minhas tentativas frustradas de tirar um mestrado em Equações Diferenciais e Análise Numérica).
No exercício 178, é pedido para calcular o limite:
.
Ora, conhecendo a fórmula:

Este limite calcula-se muito rapidamente.
Como eu não me lembrava da formula, calculei este limite de outra forma (a forma que vou agora apresentar), e depois, seguindo o raciocínio do post anterior, deduzi a fórmula da soma dos primeiros n quadrados e voltei a calcular o limite.
O truque que eu utilizei para não recorrer à fórmula da soma de quadrados foi simples: Notei que este limite podia ser convertido num limite da definição do integral de Riemann (ou seja, no limite de uma "soma de Riemann"), no intervalo [0,1], com uma partição de n subintervalos de igual comprimento 1/n:

[Os leitores podem confirmar a minha afirmação, recorrendo à fórmula da definição de integral de Riemann]
Uma boa estratégia para detectar estas "Somas de Riemann" é isolar os k/n e tentar obter uma coisa do tipo
(Custou-me 8€ numa das feiras do livro do metro de Lisboa, enquanto lá estive nas minhas tentativas frustradas de tirar um mestrado em Equações Diferenciais e Análise Numérica).
No exercício 178, é pedido para calcular o limite:
.Ora, conhecendo a fórmula:

Este limite calcula-se muito rapidamente.
Como eu não me lembrava da formula, calculei este limite de outra forma (a forma que vou agora apresentar), e depois, seguindo o raciocínio do post anterior, deduzi a fórmula da soma dos primeiros n quadrados e voltei a calcular o limite.
O truque que eu utilizei para não recorrer à fórmula da soma de quadrados foi simples: Notei que este limite podia ser convertido num limite da definição do integral de Riemann (ou seja, no limite de uma "soma de Riemann"), no intervalo [0,1], com uma partição de n subintervalos de igual comprimento 1/n:

[Os leitores podem confirmar a minha afirmação, recorrendo à fórmula da definição de integral de Riemann]
Uma boa estratégia para detectar estas "Somas de Riemann" é isolar os k/n e tentar obter uma coisa do tipo
Σ f(k/n)×(1/n)
com k a variar entre 0 e n-1. (mas naturalmente não é a única forma...)
Até uma próxima oportunidade.
PS: obviamente, a intenção do livro do Demidovitch e companhia é que se faça isto sem recorrer a integrais porque só aparecem mais à frente, ou seja, de preferencia usando a fórmula da soma de quadrados perfeitos.
Até uma próxima oportunidade.
PS: obviamente, a intenção do livro do Demidovitch e companhia é que se faça isto sem recorrer a integrais porque só aparecem mais à frente, ou seja, de preferencia usando a fórmula da soma de quadrados perfeitos.
Etiquetas:
Análise,
Cálculo,
Matemática
sábado, 11 de fevereiro de 2012
A soma dos primeiros n quadrados perfeitos, uma outra dedução
Já muita gente se deve ter cruzado com esta fórmula alguma vez na vida, e típicamente deve tê-la demonstrada facilmente recorrendo ao método de indução matemática.

No entanto, dado o seu aspecto, será pouco provável que esta fórmula tenha sido deduzida pela primeira vez recorrendo ao método de indução.
Como isto é Matemática, dificilmente há demonstrações "únicas".
Vou propor outra forma simples de demonstrar esta fórmula e outras do mesmo tipo (somas de cubos, de potencias quartas..etc)
Basta tomar:

E sabendo que é a única solução da equação com diferenças:

Basta resolvê-la.
(Saber resolver equações com diferenças é algo que devia fazer parte da cultura de todo e qualquer matemático...)
Garanto que obtêm a mesma fórmula.

No entanto, dado o seu aspecto, será pouco provável que esta fórmula tenha sido deduzida pela primeira vez recorrendo ao método de indução.
Como isto é Matemática, dificilmente há demonstrações "únicas".
Vou propor outra forma simples de demonstrar esta fórmula e outras do mesmo tipo (somas de cubos, de potencias quartas..etc)
Basta tomar:

E sabendo que é a única solução da equação com diferenças:

Basta resolvê-la.
(Saber resolver equações com diferenças é algo que devia fazer parte da cultura de todo e qualquer matemático...)
Garanto que obtêm a mesma fórmula.
Etiquetas:
Análise,
Cálculo,
Matemática
terça-feira, 31 de janeiro de 2012
Tempo perdido
Todos os dias quando acordo
Não tenho mais
O tempo que passou
Mas tenho muito tempo
Temos todo o tempo do mundo...
Todos os dias
Antes de dormir
Lembro e esqueço
Como foi o dia
Sempre em frente
Não temos tempo a perder...
Nosso suor sagrado
É bem mais belo
Que esse sangue amargo
E tão sério
E Selvagem! Selvagem!
Selvagem!...
Veja o sol
Dessa manhã tão cinza
A tempestade que chega
É da cor dos teus olhos
Castanhos...
Então me abraça forte
E diz mais uma vez
Que já estamos
Distantes de tudo
Temos nosso próprio tempo
Temos nosso próprio tempo
Temos nosso próprio tempo...
Não tenho medo do escuro
Mas deixe as luzes
Acesas agora
O que foi escondido
É o que se escondeu
E o que foi prometido
Ninguém prometeu
Nem foi tempo perdido
Somos tão jovens...
Tão Jovens! Tão Jovens!...
Legião Urbana
"o homem do futuro"
...
Alguém me oferece um DVD original deste filme?
[Não quero o blu-ray.. não tenho leitor disso]
terça-feira, 24 de janeiro de 2012
O mundo em 2012 - Parte I
Desde Dezembro que não escrevo uma linha de código.
Sento-me a rabiscar a fazer cálculos...
Ocorrem-me ideias para o meu universo de ficção científica.
Vou tomando nota delas na minha "bíblia".
Ouço as notícias deste mundo, e "notícias" cheias de opiniões, juizos e comentários.
Onde anda a imparcialidade? E no meio de tantos juizos, onde está a verdade?
Quem deu às pessoas que têm o dever de informar o direito a julgar?
Não confundam o direito à informação com liberdade de expressão!
Não sou o maior fã do dr. Alberto João Jardim, por estar desde 1976 no poder, mas ver uma "entrevista" onde ele não pode acabar um raciocínio, seja ele qual for, e tenha ele a qualidade que tiver, é irritante.
A mim incomoda-me que não me deixem acabar uma frase. É isto jornalismo?
Eu tenho as minhas opiniões... não preciso de as ter manipuladas pela comunicação social.
Aliás, ver TV, hoje em dia é aborrecido.
Séries, filmes e programas têm grandes intervalos para publicidade.
[Eu sei que precisam de publicidade, mas precisam mesmo de TANTA?]
Compreendo perfeitamente quem prefere fazer download de séries e vê-las no computador, sem publicidade.
Compreendo quem faz um download de um filme em vez de comprar um DVD que logo nos primeiros minutos nos atira publicidade ou pior que nos mostra um videozinho a dizer que o download é ilegal... BOLAS as pessoas COMPRARAM o DVD. precisam mesmo de ver aquela porcaria, QUE AINDA POR CIMA aparece em praticamente TODOS os DVDs que compram?
Compreendo que os autores precisam de ganhar pelo que produzem.
Mas, tenho de pagar uma taxa "anti-pirataria" por cada resma de papel A4 que compro?
Terei de pagar uma taxa do mesmo tipo por cada CD/DVD/Pen/leitor de Mp3 ou Mp4/Disco Rígido que EU COMPRAR?
Estão a assumir que somos todos piratas? Bolas! Eu uso as MINHAS folhas para escrever, quando imprimo, imprimo textos MEUS! Vão roubar outro!
Quando requisitam um livro numa biblioteca, têm de pagar a alguém pelo que ficar na vossa memória?
Bolas... chegaremos a um dia em que cantarolar algo que ouvimos na rádio pagará imposto!
Nos EUA decidiram fazer uma SOPA e encher-nos com uma PIPA, alegadamente para proteger direitos de autor, que podem "matar" projectos como Wikipedia, Youtube, Facebook, etc etc...
Estamos a regredir, a cair num mundo sem conhecimento livre?
Há anos que digo que em muita coisa os EUA não são exemplo para ninguém.
[Não se preocupem que a União Europeia também não é]
Pirataria? Não me façam rir. Há tanta gente a ganhar fortunas "legalmente" com ela. Que sejam esses a pagar taxas.
Fechar sites que até têm utilidade legítima com medo da pirataria é assumir que todos são culpados até provas em contrário.
"Pirataria", que até está a ser paga todos os meses por quem paga a internet e ainda tem de ver publicidade nos sites que visita, e que muitas vezes até tornam o PC mais lento por estarem a recorrer a aplicações demasiado exigentes a quem não fez um upgrade ao seu computador. Computador que até funciona bem e rapidamente quando não tem de abrir essas coisas [eu tenho um exemplo disto: o meu já velhinho pentium IV 2.4 ghz]
Assim que em Fevereiro eu voltar a enfrentar a hipótes de ter de cortar a internet... Se eu tiver em conta o que os EUA querem fazer à internet (como se a internet fosse propriedade americana), o corte não me vai fazer sentir muita pena.
Sim, estamos em 2012, e parece que querem mesmo acabar com o mundo que conhecemos.
Até à próxima oportunidade.
Sento-me a rabiscar a fazer cálculos...
Ocorrem-me ideias para o meu universo de ficção científica.
Vou tomando nota delas na minha "bíblia".
Ouço as notícias deste mundo, e "notícias" cheias de opiniões, juizos e comentários.
Onde anda a imparcialidade? E no meio de tantos juizos, onde está a verdade?
Quem deu às pessoas que têm o dever de informar o direito a julgar?
Não confundam o direito à informação com liberdade de expressão!
Não sou o maior fã do dr. Alberto João Jardim, por estar desde 1976 no poder, mas ver uma "entrevista" onde ele não pode acabar um raciocínio, seja ele qual for, e tenha ele a qualidade que tiver, é irritante.
A mim incomoda-me que não me deixem acabar uma frase. É isto jornalismo?
Eu tenho as minhas opiniões... não preciso de as ter manipuladas pela comunicação social.
Aliás, ver TV, hoje em dia é aborrecido.
Séries, filmes e programas têm grandes intervalos para publicidade.
[Eu sei que precisam de publicidade, mas precisam mesmo de TANTA?]
Compreendo perfeitamente quem prefere fazer download de séries e vê-las no computador, sem publicidade.
Compreendo quem faz um download de um filme em vez de comprar um DVD que logo nos primeiros minutos nos atira publicidade ou pior que nos mostra um videozinho a dizer que o download é ilegal... BOLAS as pessoas COMPRARAM o DVD. precisam mesmo de ver aquela porcaria, QUE AINDA POR CIMA aparece em praticamente TODOS os DVDs que compram?
Compreendo que os autores precisam de ganhar pelo que produzem.
Mas, tenho de pagar uma taxa "anti-pirataria" por cada resma de papel A4 que compro?
Terei de pagar uma taxa do mesmo tipo por cada CD/DVD/Pen/leitor de Mp3 ou Mp4/Disco Rígido que EU COMPRAR?
Estão a assumir que somos todos piratas? Bolas! Eu uso as MINHAS folhas para escrever, quando imprimo, imprimo textos MEUS! Vão roubar outro!
Quando requisitam um livro numa biblioteca, têm de pagar a alguém pelo que ficar na vossa memória?
Bolas... chegaremos a um dia em que cantarolar algo que ouvimos na rádio pagará imposto!
Nos EUA decidiram fazer uma SOPA e encher-nos com uma PIPA, alegadamente para proteger direitos de autor, que podem "matar" projectos como Wikipedia, Youtube, Facebook, etc etc...
Estamos a regredir, a cair num mundo sem conhecimento livre?
Há anos que digo que em muita coisa os EUA não são exemplo para ninguém.
[Não se preocupem que a União Europeia também não é]
Pirataria? Não me façam rir. Há tanta gente a ganhar fortunas "legalmente" com ela. Que sejam esses a pagar taxas.
Fechar sites que até têm utilidade legítima com medo da pirataria é assumir que todos são culpados até provas em contrário.
"Pirataria", que até está a ser paga todos os meses por quem paga a internet e ainda tem de ver publicidade nos sites que visita, e que muitas vezes até tornam o PC mais lento por estarem a recorrer a aplicações demasiado exigentes a quem não fez um upgrade ao seu computador. Computador que até funciona bem e rapidamente quando não tem de abrir essas coisas [eu tenho um exemplo disto: o meu já velhinho pentium IV 2.4 ghz]
Assim que em Fevereiro eu voltar a enfrentar a hipótes de ter de cortar a internet... Se eu tiver em conta o que os EUA querem fazer à internet (como se a internet fosse propriedade americana), o corte não me vai fazer sentir muita pena.
Sim, estamos em 2012, e parece que querem mesmo acabar com o mundo que conhecemos.
Até à próxima oportunidade.
Etiquetas:
Internet
domingo, 15 de janeiro de 2012
Emprego Bom Já
Ouvi esta musica hoje de manhã na rádio comercial.
Gostei do videoclip com bonecos de lego...
sábado, 14 de janeiro de 2012
Austeridade... e contenção de despesas: o fim de mais uma era.
Se em 2011 vi-me forçado a abandonar o mestrado... a verdade é que no cenário actual, mesmo que eu quisesse, no presente ano lectivo, continuar seria impossível.
A tal de "crise" de que muitos falam, para algumas pessoas está a sair bem cara.
Não só ser-me-ia impossível pagar as propinas, como seria impossível estar deslocado.
Por cá na Madeira, os medicamentos deixaram de ser comparticipados.
(Ok, os meios de comunicação social dizem que o governo está a montar um esquema para nos devolver,nos centros de saúde o dinheiro das comparticipações... mas obviamente isto não é solução: os centros de saúde já andam cheios de doentes, e muitas pessoas passam o dia no trabalho, e quando saem, o centro de saúde já fechou... mas não vou discutir o assunto aqui, deixo isso para os nossos comentadores políticos das TVs, que tipicamente não fazem ideia do que dizem).
A mim, a contenção de despesas, em breve vai obrigar-me até a cortar na Internet (Sim, eu vou ficar sem Internet, e este blog, no qual eu publico de forma irregular, deve cair no limbo por tempo indeterminado).
Não é a dar explicações por cá que vou conseguir aguentar-me.
A alternativa seria dar explicações no Funchal, mas os transportes públicos estão a ficar bem caros com todos estes aumentos ditados pelos idiotas que acham que assim vão "salvar" Portugal, e só compensaria com um número adequado de alunos... e com uma sobrecarga de trabalho da a minha parte. Não está fora de hipótese, mas dado o cenário actual, é algo que tem de ser muito bem estudado.
Escrevo estas linhas no meu já velhinho Pentium IV com mais de 10 anos.
Estou a poupar o Scratchy para os meus projectos e trabalhos. Ás vezes pergunto-me até quando aguentará, visto que comprar um substituto também está fora dos meus planos...
2012 pode não ser o fim do mundo, mas, vai a caminho de ser o fim do mundo tal como eu o conheço.
"Deus escreve direito por linhas tortas"
Esperemos que sim...
A tal de "crise" de que muitos falam, para algumas pessoas está a sair bem cara.
Não só ser-me-ia impossível pagar as propinas, como seria impossível estar deslocado.
Por cá na Madeira, os medicamentos deixaram de ser comparticipados.
(Ok, os meios de comunicação social dizem que o governo está a montar um esquema para nos devolver,nos centros de saúde o dinheiro das comparticipações... mas obviamente isto não é solução: os centros de saúde já andam cheios de doentes, e muitas pessoas passam o dia no trabalho, e quando saem, o centro de saúde já fechou... mas não vou discutir o assunto aqui, deixo isso para os nossos comentadores políticos das TVs, que tipicamente não fazem ideia do que dizem).
A mim, a contenção de despesas, em breve vai obrigar-me até a cortar na Internet (Sim, eu vou ficar sem Internet, e este blog, no qual eu publico de forma irregular, deve cair no limbo por tempo indeterminado).
Não é a dar explicações por cá que vou conseguir aguentar-me.
A alternativa seria dar explicações no Funchal, mas os transportes públicos estão a ficar bem caros com todos estes aumentos ditados pelos idiotas que acham que assim vão "salvar" Portugal, e só compensaria com um número adequado de alunos... e com uma sobrecarga de trabalho da a minha parte. Não está fora de hipótese, mas dado o cenário actual, é algo que tem de ser muito bem estudado.
Escrevo estas linhas no meu já velhinho Pentium IV com mais de 10 anos.
Estou a poupar o Scratchy para os meus projectos e trabalhos. Ás vezes pergunto-me até quando aguentará, visto que comprar um substituto também está fora dos meus planos...
2012 pode não ser o fim do mundo, mas, vai a caminho de ser o fim do mundo tal como eu o conheço.
"Deus escreve direito por linhas tortas"
Esperemos que sim...
quarta-feira, 4 de janeiro de 2012
Paulo's log, 4 de Janeiro de 2012
10h00m: Ligo o PC e ponho o café a fazer.
10h02m: Bebo o café e olho pela janela... Mais um chato e frio dia de Inverno.
10h05m: Abro um browser, vejo o Facebook, e o email. 214 mensagens para ler...
Podem esperar!
Nos títulos das mais recentes não há nada mais interessante que mensagens de
ano novo.
Ok, vamos lá responder a duas.
10h15m: Vamos lá ver se eu edito mais um vídeo hoje. Até ao dia de reis quero ter as
minhas filmagens editadas e gravadas em DVD.
10h34m: Ligo o gmail chat, dou bom dia a um amigo e pergunto-lhe se o mundo já acabou,
e volto à edição de vídeo.
12h45m: começo a escrever este post no meu blog, e agendo para publicação às 13h00.
13h00m: o post é postado.
10h02m: Bebo o café e olho pela janela... Mais um chato e frio dia de Inverno.
10h05m: Abro um browser, vejo o Facebook, e o email. 214 mensagens para ler...
Podem esperar!
Nos títulos das mais recentes não há nada mais interessante que mensagens de
ano novo.
Ok, vamos lá responder a duas.
10h15m: Vamos lá ver se eu edito mais um vídeo hoje. Até ao dia de reis quero ter as
minhas filmagens editadas e gravadas em DVD.
10h34m: Ligo o gmail chat, dou bom dia a um amigo e pergunto-lhe se o mundo já acabou,
e volto à edição de vídeo.
12h45m: começo a escrever este post no meu blog, e agendo para publicação às 13h00.
13h00m: o post é postado.
domingo, 1 de janeiro de 2012
Subscrever:
Mensagens (Atom)




